Для заказа и получения более подробной информации оставьте заявку, наш менеджер свяжется с Вами!
Нажимая на кнопку, вы даете согласие на обработку персональных данных и соглашаетесь c политикой конфиденциальности
Картирование литологических и минералогических единиц с использованием гиперспектральных изображений.
Rayan Ghazi Thannoun1a*
a-Remote Sensing Center, Mosul University, IRAQ. Email: rayan.ghazi@uomosul.edu.iq1 Corresponding author: rayan.ghazi@uomosul.edu.iq Received: 10th April 2020 Accepted: 19th Aug 2020 DOI: https://doi.org/10.22452/mjs.vol40no1.8
Published: 28th Feb 2021
АННОТАЦИЯ
Гиперспектральные изображения, такие как снимки спутника Earth Observer-1 (EO-1), обеспечивают эффективный метод для картографирования поверхностных минералов , поскольку позволяют измерять энергию в более узких диапазонах по сравнению с многоспектральными датчиками. Антиклинальная складка (Kirkuk anticline), к которой приурочено нефтяное месторождение Киркук, расположенная в северном Ираке, является одной из самых богатых нефтью провинций. На поверхности имеет асимметричное строение: в юго-восточной части северо-восточное крыло надвинуто на юго-западное. Тектонически Антиклинальная складка расположена в Низкоскладчатой зоне.Предгорного складчатого пояса, входящего в зону коллизии Загроса. На первом этапе было выполнено устранение влияния атмосферы: изображение EO‑1 скорректировали спомощью модуля FLAASH в программном обеспечении ENVI. Далее применили преобразование «Минимальная шумовая дробь» (Minimum Noise Fraction, MNF), что позволило снизить размерность данных. Также выполнили обработку с использованием индекса чистоты пикселя (Pixel Purity Index, PPI) для пространственного сокращения данных. В исследовании протестировали потенциал управляемой классификации «Картографирование по спектральным углам» (Spectral Angle Mapper, SAM) для картирования литологических и минералогических единиц с использованием снимков Hyperion.
Для классификации SAM использовались три различных источника конечных элементов или спектров.
Источник первый: получен с помощью полевого спектрометра Analytical Spectral Devices (ASD) в лаборатории спектрального анализа (Центр дистанционного зондирования - Мосульский университет).
Источник второй: эталонные спектры были взяты из спектральной библиотеки USGS. Источник третий: извлечение конечных элементов из самых чистых пикселей на изображении Hyperion, что было сделано путем применения (минимальной шумовой доли) и (индекса чистоты пикселей). Конечные элементы были предоставлены и сгенерированы в качестве обучающей области для классификации SAM. Полученные результаты указывают на большой потенциал данных EO-1 для картирования распределения минералов изменения и литологических единиц в части антиклинальной складки. Классифицированное изображение Hyperion показывает, что ярозит и иллит являются наиболее распространенными минералами изменения. Кроме того, основные литологические единицы верхнего члена формации Фатха обнажены в центральной части антиклинальной складки с небольшими обнажениями, разбросанными по флангам. Было установлено, что расположение основной литологической единицы полностью соответствует геологической карте.
Введение
В последнее время данные дистанционного зондирования стали важными инструментами, которые используются во множестве практических исследований, связанных с природными ресурсами и картографированием полезных ископаемых (Melesse et al., 2007; Saibi et al., 2018). Геологи в настоящее время работают в компаниях, занимающихся разведкой полезных ископаемых, используя различные данные для поиска новых месторождений (Jaber Nasir, 2018).
Традиционные продукты дистанционного зондирования, такие как данные Landsat ETM+ и многоспектрального сканера Landsat, часто ограничены в спектральном и пространственном разрешении. Они формируются сенсорами, измеряющими электромагнитную энергию в нескольких спектральных диапазонах (от 3 до 10 диапазонов). В этом контексте многоспектральные изображения имеют граничные спектральные диапазоны, поэтому они не способны выделять и обнаруживать мелкие детали объектов на поверхности Земли и не могут достаточно хорошо различать цели.
С другой стороны, гиперспектральные изображения (например, полученные с аппарата Earth Observer‑1, EO‑1) измеряют энергию в более узких диапазонах по сравнению с многоспектральными сенсорами. Гиперспектральные сенсоры имеют более 240 смежных спектральных диапазонов, благодаря чему обладают достаточным спектральным разрешением для идентификации конкретных объектов на поверхности. Гиперспектральная съёмка также определяется как спектроскопическая съёмка (Miao et al., 2007).
В последнее время такие изображения широко применяются в геологических исследованиях, поскольку позволяют выявлять различные геологические формации и различать изменения в слоях горных пород, свойства выветривания и формы рельефа (Sudharsan et al., 2019; Ting‑ting & Fei, 2012; Yousefi et al., 2016). Это позволяет устранить многие ограничения спутниковых снимков при картографировании зон минерализации руд с высоким разрешением (Zhang & Pazner, 2 packed 2007).
В данном исследовании демонстрируются методы цифровой обработки изображений и классификации по методу SAM (Spectral Angle Mapper) на материалах съёмки EO‑1 для выявления литологических и минеральных комплексов в районе антиклинали Киркук на севере Ирака. Результаты и применённая методика исследования имеют большое значение для практических задач, связанных с первичным поиском нефти. Значимость выявленных литологических комплексов и минералов в контексте локальной тектонической обстановки может дать новые представления о тектоническом контроле антиклинали Киркук и прилегающих территорий.
Кроме того, ещё одна цель исследования — освоить обработку гиперспектральных данных и спектральный анализ для выявления участков, которые могут содержать экономически значимые минералы. Также ставится задача определить подходящий метод обработки для разделения данных съёмки EO‑1.
2. Район исследования
2.1 Географическое положение
Исследуемая территория занимает площадь около 120,5 км², расположена на севере Ирака и административно относится к мухафазе (провинции) Киркук.
Район исследования находится в северо‑восточной части Ирака. Его границы:
· на северо‑востоке — горы Загрос и западные участки реки Нижний Заб;
· на юго‑востоке — река Тигр, горы Хамрин и юго‑западные участки реки Сирван (река Дияла).
Координаты района:
· широта: от 35°00′00″ с. ш. до 35°52′30″ с. ш.;
· долгота: от 43°55′30″ в. д. до 44°01′30″ в. д. (рисунок 1)
2.2 Геологическое строение
Исследуемый район относится к антиклинали Киркук. Это асимметричная цилиндрическая антиклиналь, ориентированная в направлении северо‑запад — юго‑восток, протяжённостью около 125 км.
Структура разделена на две выраженные седловины и включает три структурных купола:
· купол Хурмала (Khurmala);
· купол Авана (Avanah);
· купол Баба (Baba).
(Al Sheikhly et al., 2015)
Рисунок 1. Географическое положение части антиклинали Киркук.
В тектоническом отношении этот район расположен в низкой складчатой зоне Ирака (Аль-Кадими и др., 1996), которая состоит из серии складок с низкой амплитудой, широко расположенных и пологих, ориентированных с северо-запада на юго-восток и с востока на запад. Согласно данным Иракской геологической службы (Сиссакян и Фуад, 1993), стратиграфические единицы, обнаженные на антиклинали в исследуемой области, состоят из четырех геологических формаций от миоцена до четвертичного возраста (рис. 2). Фата (средний миоцен) — самая древняя формация, которая обнажена в ядре антиклинали Киркук и состоит из известняка, гипса, зеленого мергеля и глинистого сланца. Инджана — вторая формация, которая широко обнажена в исследуемой области и включает в себя горные породы красного и красновато-коричневого цвета. Третья формация — Мукдадия, содержащая галечный песчаник, алевролит и глинистый сланец, а последняя обнаженная формация — Бай-Хасан, включающая конгломерат, песчаник и глинистый сланец. Четвертичные отложения хорошо развиты в исследуемой области, в частности, полигенетические отложения, заполняющие синклинальные впадины, а также другие, различные типы, например, отложения поверхностного и поверхностного стока, остаточный гравий, отложения, заполняющие долины. Исследуемая область имеет полузасушливый климат со среднегодовым количеством осадков ниже (58 мм) и среднегодовой температурой около (20°C) (Соран, 2008). Топографические характеристики исследуемой территории включают в себя пологие и умеренно крутые склоны с высотами около (300-370) м над уровнем моря (измеренными по цифровой модели рельефа).
Рисунок 2. Геологическая часть Kirkuk anticline (Сиссакян и Фуад, 1993)
3. Используемые данные EO‑1
Гиперспектральное изображение Hyperion со спутника Earth Observation‑1 (EO‑1), разработанного NASA (ноябрь 2000 г.) (Tiwari et al., 2010; White et al., 2007).
Согласно Jafari & Lewis (2012), спутник EO‑1 движется по тем же орбитам, что и спутники Landsat, с интервалом около 1 минуты. Пространственное разрешение составляет около 30 м, стандартный размер сцены — 42 км в длину и 7,7 км в ширину.
Hyperion обеспечивает изображения с высоким спектральным разрешением. Прибор работает по принципу «push‑broom» (линейного сканирования). Он способен охватывать территорию размером 100 км × 7,5 км на одно изображение и регистрирует приходящее излучение в диапазоне 0,4–2,4 мкм.
Hyperion может выделять 220 спектральных каналов из 242 каналов EO‑1 при средней полуширине полосы 10,9 (Farifteh et al., 2013; Pu et al., 2005).
В данном исследовании использован фрагмент гиперспектрального изображения EO‑1 Hyperion (ряд 35/путь 169) от 3 ноября 2013 г.
Обработка изображений выполнялась с помощью программного обеспечения ENVI, а для подготовки итоговых карт использовался ArcMap.
4. Предыдущие исследования
Предыдущие работы были сосредоточены на изучении геологии, тектоники и геоморфологии антиклинали Киркук, однако ранее гиперспектральные снимки в исследованиях не применялись.
В ряде работ для выявления литологических комплексов и изменений горных пород использовались спутниковые снимки Landsat и Aster. При этом применялись методы цифровой обработки изображений, в частности: преобразование изображений (например, метод главных компонент); расчёт отношений каналов (image ratio).
На основе этих данных были созданы наборы карт минералогического и литологического содержания.
Антиклинали Киркук всё сильнее подвержены просачиванию углеводородов (Perry et al., 2011; Thannoun, 2012; Thannoun et al., 2 prepared).
Часть антиклинали Киркук исследовали Perry et al. (2011). Учёные составили карту изменённых выходов горных пород, применив ряд усовершенствованных методов классификации к снимкам Landsat и Aster.
Кроме того, Thannoun (2012) изучал купол Аванах, расположенный в пределах исследуемой территории. Он провёл обработку трёх снимков Landsat, чтобы выявить аномальные участки или зоны изменений, обусловленные просачиванием углеводородов.
5. Методика исследования
Классификация выполнена с помощью метода спектрального углового картирования (Spectral Angular Mapper, SAM).
Принятая методика, включающая несколько этапов, представлена на рисунке 3.
Рисунок 3. Методика исследования
5.1 Предварительная обработка
Данные Hyperion уровня 1G/1T содержат шумы, поэтому перед дальнейшим анализом необходимо провести цифровую обработку (Datt и др., 2003; Farifteh и др., 2013; Goodenough и др., 2003; Staenz и др., 2002).
В данном исследовании изображение EO-1 Hyperion было предварительно обработано и откорректировано: устранены вертикальные полосы; проведена геометрическая коррекция; выполнена атмосферная коррекция.
5.1.1 Выбор спектральных каналов (удаление неинформативных и поглощающих каналов)
Из исходного набора данных, состоящего из 242 спектральных каналов изображения EO-1 Hyperion, была проведена фильтрация каналов.
Некоторые каналы не содержат полезной информации («нулевые каналы», согласно Kumar & Yarrakula, 2017) и характеризуются: высоким уровнем шума; поглощением водяного пара; выраженными вертикальными полосами.
Были исключены следующие диапазоны каналов:
· B1–B7;
· B58–B76;
· B221–B242.
Отдельно выделены диапазоны, соответствующие областям поглощения водяного пара:
· B120–B132;
· B165–B182;
· B221–B224.
Некоторые из этих каналов содержат систематические шумы в виде вертикальных полос, которые ухудшают качество данных и затрудняют их интерпретацию.
Каналы с выраженными вертикальными полосами были идентифицированы с помощью визуальной интерпретации и удалены вручную. К ним относятся:
· B1–B7;
· B58–B78;
· B80–B82;
· B221–B242.
Для дальнейшей обработки было отобрано 194 канала.
5.1.2 Удаление вертикальных полос
Одной из наиболее сложных проблем при работе с гиперспектрометром EO‑1 Hyperion было наличие множества протяжённых полос (артефактов) вдоль трека съёмки в некоторых спектральных каналах (диапазонах) EO‑1. Эти полосы заметно ухудшали качество отображения изображений.
Xijb — значение пикселя в столбце jj, строке ii и канале (полосе спектра) bb. Значение XijbXijb связано с расчетом искажений пиксельного значения в строке ii, столбце jj и полосе bb.
μbμb и σbσb обозначают среднее арифметическое и стандартное отклонение полосы kk. μjbμjb и σjbσjb представляют собой среднее арифметическое и стандартное отклонение столбца jj в полосе bb. μmμm и σmσm — общее среднее арифметическое и стандартное отклонение соответственно.
Подмножество изображений было импортировано с использованием инструмента импорта Hyperion_tool.sav, доступного на сайте ENVI (http://www.iitvis.com), и все изображения были преобразованы в формат ENVI.
5.1.3 Геометрическая и атмосферная коррекция
Изображение Hyperion с аппарата EO‑1 было предоставлено в виде радиометрически калиброванных данных уровня 1G. Изображение было привязано к вертикальной полосе Landsat, что означает: яркость пикселей отличается от яркости соседних пикселей. Следовательно, этот шум может негативно повлиять на классификацию.
Вертикальные полосы могут быть результатом различий в ячейках в поперечном направлении (Mason, 2002).
Подмножества изображений включают 143 выбранные полосы, для которых проведена минимизация вертикальных полос — для каждой полосы отдельно. При этом значение цифрового числа (DN) заменено на среднее значение цифровых чисел соседних столбцов.
С помощью следующих уравнений (Goetz et al., 2003) можно обработать все полосовые шумы на снимках EO‑1.
Изображения ETM+ 2001 (трасса 169, ряд 35) обработаны методом геометрической коррекции «изображение к изображению».
Для выполнения коррекции было выбрано несколько точек в качестве опорных наземных точек (Ground Control Points, GCP) — на тестовом и эталонном изображениях.
Точность операции имела важное значение и оценивалась с помощью среднеквадратичной ошибки (Root Mean Square, RMS). Значение этого показателя составило 0,7 пикселя при использовании 13 опорных точек (GCP).
Для постобработки были выбраны отдельные спектральные каналы. Некоторые из них оперативно корректировались с учётом атмосферных эффектов с помощью модели FLAASH (Fast Line-of-sight Atmospheric Analysis of Spectral Hypercubes).
Модель FLAASH обеспечивает атмосферную коррекцию гиперспектральных изображений в диапазонах от видимого ближнего ИК‑диапазона (VNIR) до коротковолнового ИК‑диапазона (SWIR); использует параметры атмосферной компенсации, непосредственно извлекаемые из данных, содержащихся в сцене изображения — в отсутствие вспомогательной (сопутствующей) информации (Pervaiz et al., 2016; Pervez & Khan, 2015).
Ниже приведено уравнение, описывающее метод FLAASH для атмосферной коррекции (Kumar & Yarrakula, 2017; Magendran & Sanjeevi, 2013).
Это уравнение определяет абсолютную отражательную способность, полученную с помощью модуля FLAASH.
В уравнении:
· r — отражательная способность поверхности пикселя;
· pe — отражательная способность поверхности, приходящаяся на пиксель;
· S — альбедо атмосферы в окружающей области;
· La — атмосферная яркость, рассеянная назад;
· A и B — коэффициенты.
Атмосферная коррекция выполняется с использованием инструмента‑расшинения (Hyperion tool.sav).
5.2 Постобработка изображений
Постобработка изображений включает следующие этапы:
5.2.1 Определение размерности данных
В данном исследовании для предварительно скорректированного по атмосферным эффектам изображения было применено преобразование минимальной доли шума (Minimum Noise Fraction, MNF). Это позволило: выявить внутреннюю размерность данных; уменьшить некоррелированный пространственный шум.
Преобразование MNF основано на концепции анализа главных компонент (Principal Component Analysis, PCA), также известного как преобразование Карунена‑Лоэва (Hirano et al., 2003).
При анализе собственных значений (eigenvalues), полученных в ходе обработки MNF, выявлено следующее: первые спектральные полосы MNF (1‑я и 2‑я) имеют наибольшие значения; остальные полосы — наименьшие значения.
Это можно продемонстрировать с помощью диаграмм рассеяния (scatterplots) между каждым преобразованным изображением (или фракцией), как показано на рисунке 5.
Различные изображения MNF в сопоставлении друг с другом (рис. 4) дают представление о распределении спектральных данных: на рисунках 4a, 4b, 4d и 4c видны разделённые кластеры или «углы»; последние полосы (например) выглядят размытыми.
Эндомемберы (endmembers) — элементы, демонстрирующие уникальные спектры или наземные компоненты, — можно выделить из разделённых кластеров на диаграммах рассеяния.
В зависимости от согласованных частей полосы MNF способны улучшить результаты последующей обработки.
Теперь изображение MNF готово для классификации методом SAM (Spectral Angle Mapper).
Рисунок 4. Диаграммы рассеяния полос MNF. (a) полоса 1 против полосы 2, (b) полоса 2 против полосы 3, (c) полоса 3 против полосы 4, (d) полоса 155 против полосы 156).
5.2.2 Индекс чистоты пикселя (Pixel Purity Index, PPI)
Данный метод широко применяется при обработке данных Hyperion с аппарата EO‑1 для выделения эндомемберов (характерных спектральных сигнатур), поскольку: хорошо зарекомендовал себя; доступен в программном пакете ENVI.
На основании результатов преобразования MNF: спектральные полосы с низкими значениями обычно исключаются из дальнейшей обработки; для последующих этапов отбираются полосы с высокими значениями.
В ходе этой обработки указанные полосы используются для выявления наиболее интенсивных изображений(Boardman et al., 1995).
В данном исследовании метод PPI был применён для выявления эндомемберов на снимке EO‑1. При этом использовался тот же набор случайно сгенерированных исходных векторов (skewers).
5.2.3 Классификация с помощью спектрального углового картографа (Spectral Angle Mapper, SAM)
Данная обработка представляет собой физический спектральный классификатор, использующий n-мерный уголдля сопоставления пикселей с эталонными спектрами (Kruse и др., 1993).
Алгоритм обработки основан на оптимальном предположении, что: один пиксель изображения отражает определённый материал покрытия поверхности земли; этот пиксель может быть отнесён только к одному классу покрытия поверхности.
Метод определяет спектральное сходство между спектрами пикселей путём: оценки угла между спектрами (спектрами пикселей, спектрами изображения или идентифицированными спектрами эталонного отражения); обработки спектров как векторов в пространстве признаков.
Классификация применяется к калиброванным данным отражательной способности и относительно нечувствительна к влиянию альбедо и освещённости (Hassani, 2017).
Эталонные спектры (эндомемберы) для классификации SAM могут быть получены: из ASCII-файлов с помощью спектрорадиометра ASD fields; из спектральных библиотек; напрямую из пикселей изображения (как средние спектры для области интереса).
Принцип работы SAM:
1. Коррелирует угол между векторами пикселя изображения и спектра эндомембера в пространстве признаков (см. рисунок 5).
2. Наименьшие углы наиболее точно соответствуют эталонному спектру.
3. Пиксели, углы которых значительно превышают установленный порог, не классифицируются.
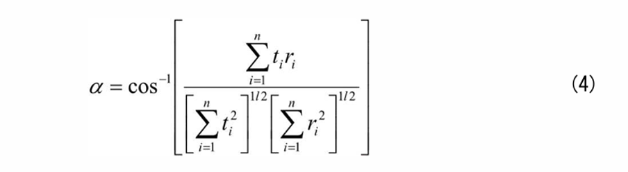
Спектральное сходство определяется с помощью специальной формулы.
Где α — спектральный угол, t — спектр пикселя изображения, r — эталонный спектр, а n — количество доступных спектральных диапазонов (полос).
Метод SAM (Spectral Angle Mapper) измеряет данные с учётом углового направления, а не их величины. Он относительно нечувствителен к эффектам альбедо и освещённости (Falcone & Gomez, 2005).
Эта особенность делает SAM полезным для обнаружения множества материалов или объектов, которые имеют очень разные спектры.
Рисунок 5. Угол в пространстве признаков между эталонным спектром и спектром изображения.
6.Результаты и обсуждение
В данном исследовании использовались снимки EO‑1, полученные для участка Kirkuk anticline и — геологической структуры, известной как Киркукские нефтяные месторождения. Были зафиксированы некоторые природные газовые источники и выходы углеводородов.
Вследствие этого наблюдаются изменения в литологическом и минеральном составе, вызванные преобразованием пород и почв из‑за выделения газов из подземного резервуара.
При литологическом и минеральном картографировании с использованием классификации SAM (Spectral Angle Mapper) предполагается, что:каждый класс имеет единую спектральную сигнатуру; средний спектр каждого выбранного образца (Crosta et al., 1998; Rowan et al., 2000) рассматривается как альтернатива спектральной формы класса.
Ключевые спектральные сигнатуры земных материалов позволяют напрямую выявлять: растительность; минералы; горные породы; гидротермально изменённые минералы; основные литологические единицы; минеральные ресурсы (Mazhari et al., 2017).
Выбор конечных членов (endmembers) — наиболее важный этап в классификации SAM. В данном исследовании использовались три различных источника конечных членов (спектров):
1. Источник 1: спектрометр Analytical Spectral Devices (ASD) в лаборатории спектрального анализа (Центр дистанционного зондирования, Университет Мосула). Диапазон разрешения — от 350 нм до 2500 нм. Было собрано и измерено с помощью ASD пять образцов основных литологических единиц (рис. 6).
2. Источник 2: эталонные спектры, взятые из спектральной библиотеки Геологической службы США (U. S. Geological Survey) для минералов (рис. 7). Это необходимо, поскольку без геохимического анализа сложно идентифицировать различные типы изменённых минералов непосредственно в полевых условиях.
Конечные члены, предоставленные каждым источником, были использованы в качестве обучающей выборки для классификации SAM.
Рисунок 6. Измеренные спектры отражения с помощью спектрометра ASD.
Рисунок 7. Спектры отражения из спектральной библиотеки Геологической службы США (USGS).
В снимке EO‑1 Hyperion классификатор SAM измеряет цифровые значения всех спектральных каналов для каждого пикселя, а затем определяет сходство между направлением спектральной сигнатуры пикселя изображения (т. е. его «цветом») и конкретным классом из данных спектрометра и цифровой спектральной библиотеки USGS.
Источник 3: получение конечных членов (endmembers) из наиболее «чистых» пикселей снимка Hyperion. Эта процедура выполнена с помощью методов:
· PPI (Pixel Purity Index — индекс чистоты пикселя).
Результатом классификации SAM является цветокодированное изображение, на котором отображено наилучшее соответствие по методу SAM для преобладающего содержания каждого пикселя.
После обработки конечных членов для 13 минералов с помощью классификации SAM получен результат, показывающий хорошее соответствие в каждом пикселе между спектрами снимка Hyperion и неизвестными спектрами.
Общая литологическая и минеральная карта, составленная по данным EO‑1 Hyperion с использованием классификации SAM, представлена на рисунке 8.
Классифицированное изображение демонстрирует распределение конкретных литологических и минеральных типов на исследуемой территории. Расположение основных литологических единиц в изучаемом районе точно соответствует геологической карте.
Верхняя часть формации Фата расположена в центральном ядре антиклинали Киркук с рассеянными небольшими выходами на крылья складки.
Рисунок 8. Цветовая карта результатов классификации методом SAM.
В результате классификации наиболее распространённой выявленной литологической разновидностью стал гипс; мергель обнаружен в виде изолированных небольших скоплений.
В центральной части ядра антиклинали и по её крыльям преобладает свита Инжана (Injana Formation). Песчаник также оказался одной из наиболее часто встречающихся литологических разновидностей в классификации.
Как видно на рисунке 8, литологические единицы свит Бай‑Хасан (Bai Hassan Formation) и Мукдадия(Mukdadiya Formation), которые обычно состоят из конгломератов и галечных песчаников, не были выявлены в ходе классификации — на изображении они отображены чёрным цветом. Это связано с отсутствием достоверных конечных членов (endmembers) для этих пород в исследуемом районе.
Были отобраны пять минералов, связанных с выходами углеводородов:
· алунит (Alunite);
· иллит (Illite);
· ярозит (Jarosite);
· каолинит (Kaolinite);
· монтмориллонит (Montmorillonite).
Классифицированное изображение Hyperion показывает, что эти минералы — наиболее распространённые изменённые минералы в районе. В частности, на карте отмечен небольшой объём иллита.
Некоторые из этих минералов согласуются с результатами исследования Perry et al. (2011), в котором зафиксированы два типа минералов в Kirkuk anticline как свидетельства выхода углеводородов.
Согласно работам:
· Perry et al. (2011);
· Thannoun (2012);
· Thannoun et al. (2018),
весь район Kirkuk anticline существенно затронут выходами углеводородов; зафиксировано множество газовых источников, поступающих из подземного резервуара.
Кроме того, изображения правил SAM (SAM rule images) позволяют лучше визуализировать литологические и минеральные единицы. Эти изображения измеряют фактическое угловое расстояние (в радианах) между каждым спектром на снимке EO‑1 и каждым конечным членом (endmember) или спектром в n‑мерном пространстве. Пороговое значение угла составляет 0,3 радиана.
Рисунок 9 демонстрирует четыре изображения правил, полученных с помощью классификации SAM на основе четырёх выбранных спектров.
На изображении правил SAM: значения плотности в градациях серого отражают величины спектрального угла; более тёмные участки указывают на лучшее соответствие эталонному спектру, т. е. демонстрируют большую принадлежность к определённому классу.
Рисунок 9. Изображения правил классификации SAM (SAM rule images).
7. ВЫВОДЫ
Классификация SAM приведена в качестве примера, демонстрирующего возможности гиперспектральных спутниковых технологий для определения минералогических и литологических единиц.
Использование дистанционного зондирования в геологии — как одного из ключевых методов геологической разведки — играет важную роль в поисках и разведке полезных ископаемых.
Результаты исследования подтвердили, что распределение минералогических и литологических единиц в выходах пород Kirkuk anticline можно выявить путём интеграции классификации SAM и гиперспектральных снимков.
Для классификации SAM конечные члены (endmembers) были отобраны из трёх различных источников, что обеспечило эффективный метод идентификации экономически значимых минералов.
Снимки EO‑1 Hyperion позволяют более точно распознавать минералы по сравнению с традиционными методами, использующими мультиспектральные технологии.
Данное исследование может послужить надёжной методикой для будущих работ, связанных с применением гиперспектральной съёмки при разведке полезных ископаемых в Низкоскладчатой зоне Ирака.
8. БЛАГОДАРНОСТИ
Автор выражает глубокую благодарность Университету Мосула и Центру дистанционного зондирования за предоставленные возможности и ресурсы.
9.ССЫЛКИ
Al-Kadhimi, J. A. M., Sissakian, V. K., Fattah, A. S., & Deikran, D. B. (1996). Tectonic Map of Iraq, scale 1: 1000 000, 2nd edit. GEOSURV, Baghdad, Iraq, 1–38.
Al-Sheikhly, S. S., Tamar-Agha, M. Y., & Mahdi, M. M. (2015). Basin analysis of Cretaceous to Tertiary selected wells in Kirkuk and Bai Hassan Oil Fields, Kirkuk, Northern Iraq. Iraqi Journal of Science, 56(1B), 435–443.
Boardman, J. W., Kruse, F. A., & Green, R. O. (1995). Mapping target signatures via partial unmixing of AVIRIS data.
Crosta, A. P., Sabine, C., & Taranik, J. V. (1998). Hydrothermal alteration mapping at Bodie, California, using AVIRIS hyperspectral data. Remote Sensing of Environment, 65(3), 309–319.
Datt, B., McVicar, T. R., Van Niel, T. G., Jupp, D. L. B., & Pearlman, J. S. (2003). Preprocessing EO-1 Hyperion hyperspectral data to support the application of agricultural indexes. IEEE Transactions on Geoscience and Remote Sensing, 41(6), 1246–1259.
Falcone, J. A., & Gomez, R. (2005). Mapping impervious surface type and sub-pixel abundance using hyperion hyperspectral imagery. Geocarto International, 20(4), 3–10.
Farifteh, J., Nieuwenhuis, W., & García-Meléndez, E. (2013). Mapping spatial variations of iron oxide by-product minerals from EO-1 Hyperion. International Journal of Remote Sensing, 34(2), 682–699.
Goetz, A. F. H., Kindel, B. C., Ferri, M., & Qu, Z. (2003). HATCH: Results from simulated radiances, AVIRIS and Hyperion. IEEE Transactions on Geoscience and Remote Sensing, 41(6), 1215–1222.
Goodenough, D. G., Dyk, A., Niemann, K. O., Pearlman, J. S., Chen, H., Han, T., Murdoch, M., & West, C. (2003). Processing Hyperion and ALI for forest classification. IEEE Transactions on Geoscience and Remote Sensing, 41(6), 1321–1331.
Hassani, K. (2017). Multispectral and Hyperspectral Remote Sensing of Quaternary Sediments in Tule and Snake Valleys, Lake Bonneville, Utah. Ohio University.
Hirano, A., Madden, M., & Welch, R. (2003). Hyperspectral image data for mapping wetland vegetation. Wetlands, 23(2), 436–448.
Jaber Nasir, S. (2018). Review of the Role of Remote Sensing Applications in Mineral Exploration and Sustainable Development in Oman. International Journal of Environment and Sustainability, 6(3).
Jafari, R., & Lewis, M. M. (2012). Arid land characterisation with EO-1 Hyperion hyperspectral data. International Journal of Applied Earth Observation and Geoinformation, 19, 298–307.
Kruse, F. A., Lefkoff, A. B., Boardman, J. W., Heidebrecht, K. B., Shapiro, A. T., Barloon, P. J., & Goetz, A. F. H. (1993). The spectral image processing system (SIPS) — interactive visualization and analysis of imaging spectrometer data. AIP Conference Proceedings, 283(1), 192–201.
Kumar, M. V., & Yarrakula, K. (2017). Comparison of efficient techniques of hyper-spectral image preprocessing for mineralogy and vegetation studies.
Magendran, T., & Sanjeevi, S. (2013). A study on the potential of satellite image-derived hyperspectral signatures to assess the grades of iron ore deposits. Journal of the Geological Society of India, 82(3), 227–235.
Mason, P. (2002). MMTG A-List Hyperspectral Data Processing Software. 920C. CSIRO, Division of Exploration and Mining, Sydney, Australia.
Mazhari, N., Shafaroudi, A. M., & Ghaderi, M. (2017). Detecting and mapping different types of iron mineralization in Sangan mining region, NE Iran, using satellite image and airborne geophysical data. Geosciences Journal, 21(1), 137–148.
Melesse, A. M., Weng, Q., Thenkabail, P. S., & Senay, G. B. (2007). Remote sensing sensors and applications in environmental resources mapping and modelling. Sensors, 7(12), 3209–3241.
Miao, X., Gong, P., Pu, R., Carruthers, R. I., & Heaton, J. S. (2007). Applying class-based feature extraction approaches for supervised classification of hyperspectral imagery. Canadian Journal of Remote Sensing, 33(3), 162–175.
Perry, S. L., Kruse, F. A., & Carlston, C. (2011). Evidence of Hydrocarbon Seepage Using Multispectral Satellite Imagery, Kurdistan, Iraq. 73rd EAGE Conference and Exhibition-Workshops 2011, cp-239.
Pervaiz, W., Uddin, V., Khan, S. A., & Khan, J. A. (2016). Satellite-based land use mapping: comparative analysis of Landsat-8, Advanced Land Imager, and big data Hyperion imagery. Journal of Applied Remote Sensing, 10(2), 26004.
Pervez, W., & Khan, S. A. (2015). Hyperspectral hyperion imagery analysis and its application using spectral analysis. The International Archives of Photogrammetry, Remote Sensing and Spatial Information Sciences, 40(3), 169.
Pu, R., Yu, Q., Gong, P., & Biging, G. S. (2005). EO-1 Hyperion, ALI and Landsat 7 ETM+ data comparison for estimating forest crown closure and leaf area index. International Journal of Remote Sensing, 26(3), 457–474.
Rowan, L. C., Crowley, J. K., Schmidt, R. G., Ager, C. M., & Mars, J. C. (2000). Mapping hydrothermally altered rocks by analyzing hyperspectral image (AVIRIS) data of forested areas in the Southeastern United States. Journal of Geochemical Exploration, 68(3), 145–166.
Saibi, H., Bersi, M., Mia, M. B., Saadi, N. M., Al Bloushi, K. M. S., & Avakian, R. W. (2018). Applications of Remote Sensing in Geoscience. Recent Advances and Applications in Remote Sensing, 181.
Sissakian, V. K., & Fouad, S. F. (1993). Geological Map of Kirkuk Quadrangle. Sheet NI-38-2, scale 1:250000, GEOSURV, Baghdad, Iraq.
Soran, N. S. (2008). Hydrogeochemical properties of groundwater in the vicinity of Al-Hawija plain–Kirkuk, Iraq. Journal of Kirkuk University Scientific Studies, 3(2), 2008.
Staenz, K., Neville, R. A., Clavette, S., Landry, R., White, H. P., & Hitchcock, R. (2002). Retrieval of surface reflectance from Hyperion radiance data. IEEE International Geoscience and Remote Sensing Symposium, 3, 1419–1421.
Sudharsan, S., Hemalatha, R., & Radha, S. (2019). A Survey on Hyperspectral Imaging for Mineral Exploration using Machine Learning Algorithms. 2019 International Conference on Wireless Communications Signal Processing and Networking (WiSPNET), 206–212.
Thannoun, R. (2012). Structural control evaluation of hydrocarbon seepages in Northern Iraq using remote sensing techniques. Unpublished Ph. D. Thesis, College of Science, Geology Dept., Mosul University.
Thannoun, R., Ali, S., & Al-munaem, N. (2018). Geobotanical Study of Some Areas South-Western Mosul by using Remote Sensing and ASD Datasete. Iraqi National Journal of Earth Sciences, 18(1), 9–26.
Ting-ting, Z., & Fei, L. (2012). Application of hyperspectral remote sensing in mineral identification and mapping. Proceedings of 2012 2nd International Conference on Computer Science and Network Technology, 103–106.
Tiwari, P. S., Pande, H., & Aye, M. N. (2010). Exploiting IKONOS and Hyperion data fusion for automated road extraction. Geocarto International, 25(2), 123–131.
White, J. C., Coops, N. C., Hilker, T., Wulder, M. A., & Carroll, A. L. (2007). Detecting mountain pine beetle red attack damage with EO-1 Hyperion moisture indices. International Journal of Remote Sensing, 28(10), 2111–2121.
Yousefi, B., Sojasi, S., Castanedo, C. I., Beaudoin, G., Huot, F., Maldague, X. P. V., Chamberland, M., & Lalonde, E. (2016). Mineral identification in hyperspectral imaging using Sparse-PCA. Thermosense: Thermal Infrared Applications XXXVIII, 9861, 986118.
Zhang, X., & Pazner, M. (2007). Comparison of lithologic mapping with ASTER, Hyperion, and ETM data in the southeastern Chocolate Mountains, USA. Photogrammetric Engineering & Remote Sensing, 73(5), 555–561.